News
On December 23, 2021, the interdisciplinary research team lead by Prof. Xiaoshi Qian from School of Mechanical Engineering at Shanghai Jiao Tong University published the research article, "High-entropy polymer produces giant electric heating effect in low field", in Nature. A high-entropy polymer material was designed in this work through the ingenious design of molecular defects in relaxor ferroelectric materials, which can greatly improve the giant electrocaloric at low electric filed. For the first time, the cycle life of the giant electrocaloric cooling effect was increased to millions of times. It should be noted that it is the first time that a Chinese scientific research unit published a paper about electrocaloric materials in Nature. Moreover, it is the first time that the School of Mechanical Engineering from Shanghai Jiao Tong University published a research paper on Nature as the first unit.
The electrocaloric effect is a condensed matter physical phenomenon, in which a material shows a reversible temperature change under an applied electric field. Electrocaloric refrigeration technology features zero greenhouse effect, ease of miniaturization, lightweight, and high energy efficiency (COP). It is one of the important disruptive, and forward-looking technologies to achieve the dual-carbon goal. However, the current state-of-the-art cooling dielectrics still require an extremely high external electric field to produce an industrially usable cooling effect, which would cause early aging and breakdown under working condition. Therefore, giant improvement of the electric-field-induced entropy change in materials under low electric field is essential for this booming research field.
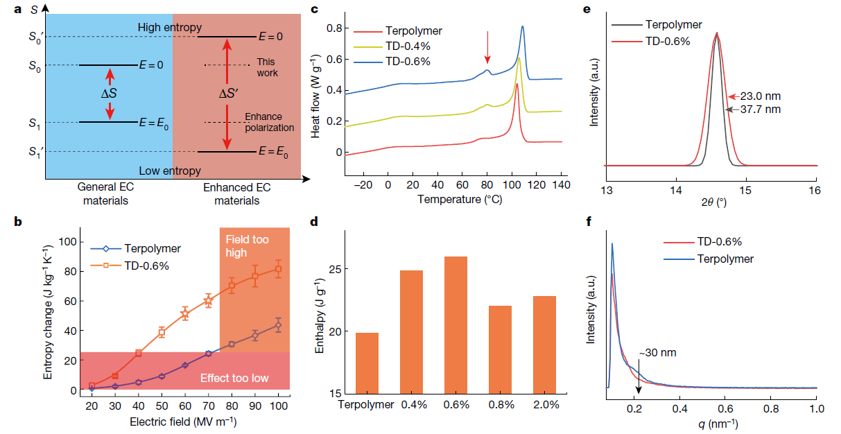
Different from the current research paradigm (to reduce high-field entropy) that is widely used to enhance the polarization strength of composite materials to increase the electrocaloric effect, this work adopts the design of high-entropy polymers to increase the entropy change (to increase the zero-field entropy). Driven by the same external electric field (50 MVm-1), the electric-field-induced-entropy change in this polarized high-entropy material is 3.75 times that of the current optimal refrigerant polymer. DSC and X-ray measurements demonstrated that the crystallinity of the high-entropy polymer simultaneously increases and the crystal size reduces. Therefore, the number of polar entities, degree of freedom and polar entropy in the material are significantly increased.

Figure 1. Entropy enhanced polymers exhibit giant ECEs under low fields
Besides the enhancement of the degree of freedom at zero electric field, the high-entropy EC polymer is easier to produce the large electric-field-induced crystal phase transition. In-situ wide-angle X-ray diffraction (WAXD) from which we observed that the high-entropy EC polymer exhibits a significantly enhanced phase transformation compared to that of the base terpolymer indicates the addition of DB will significantly reduce this intra-chain conformational energy barrier. While the polymer chain of the high-entropy EC polymer is rotating and switching more easily than the base terpolymer, a simple tensile stress test suggests an enhanced elastic modulus of the DB-modified terpolymer. We performed elastic neutron scattering on these polymers to probe atomic fluctuation of hydrogen atoms at a short time scale (~1 ns), much shorter than that of the chain rotation ~100 ns. The mean-square-displacements (MSD) of the high-entropy EC polymer are smaller than those of the base terpolymer in the entire temperature range from -20 °C to 80 °C, indicating a greater modulus for the high-entropy EC polymer sample, consistent with the tensile stress measurement. The reduced atomic fluctuation could arise from the enhanced crystallinity of the high-entropy EC polymer, as the movement of hydrogen atoms would be more restrained in a closely packed crystalline phase than in the amorphous regions. The above results therefore depict sophisticated polymer dynamics that enables a high-entropy state in a mechanically rigid polymer with lower intra-chain conformational energy barriers, leading to giant ECE at low fields.

Figure 2. Structural properties of the modified EC polymers and their base terpolymer
The dielectric properties suggest that the terpolymer modified by reducing a small amount of CFE groups to DBs possesses (i) a much higher dipolar entropy and (ii) much lower barriers for the field-induced transition than that of the base terpolymer, which results in a giant ECE at low electric fields.

Figure 3. Dielectric properties of the modified EC polymer and its base terpolymer
We characterized the fatigue performance of the high-entropy EC polymer under different electric fields and compared it with the base terpolymer under the same cycling conditions. After 61,200 cycles, the ECE of the terpolymer was reduced by 60%. By contrast, the high-entropy EC polymer exhibited less than 10% reduction in the ECE after one million cycles. Under 50 MVm-1, the high-entropy EC polymer films exhibit very little fatigue of EC response.
The high-entropy EC samples were then cycled continuously in-house without specific environmental controls for 23 days (0.5 Hz) or 11 days (1 Hz). After 106 cycles under 80 MVm-1, the high-entropy EC polymer film maintained heat absorption at 90% of the initial state.

Figure 4. High-entropy EC polymer and its impact on device performances
This work was supported by National Key R&D Program of China, National Natural Science Foundation of China and Natural Science Foundation of Shanghai.
Paper Link: www.nature.com/articles/s41586-021-04189-5
Source: Institute of Refrigeration and Cryogenics
Shanghai Jiao Tong University
Address: 800 Dongchuan Road, Shanghai
200240