
齐飞教授、苑文浩副教授团队揭示了丙烷催化部分氧化气—固耦合微观反应机制

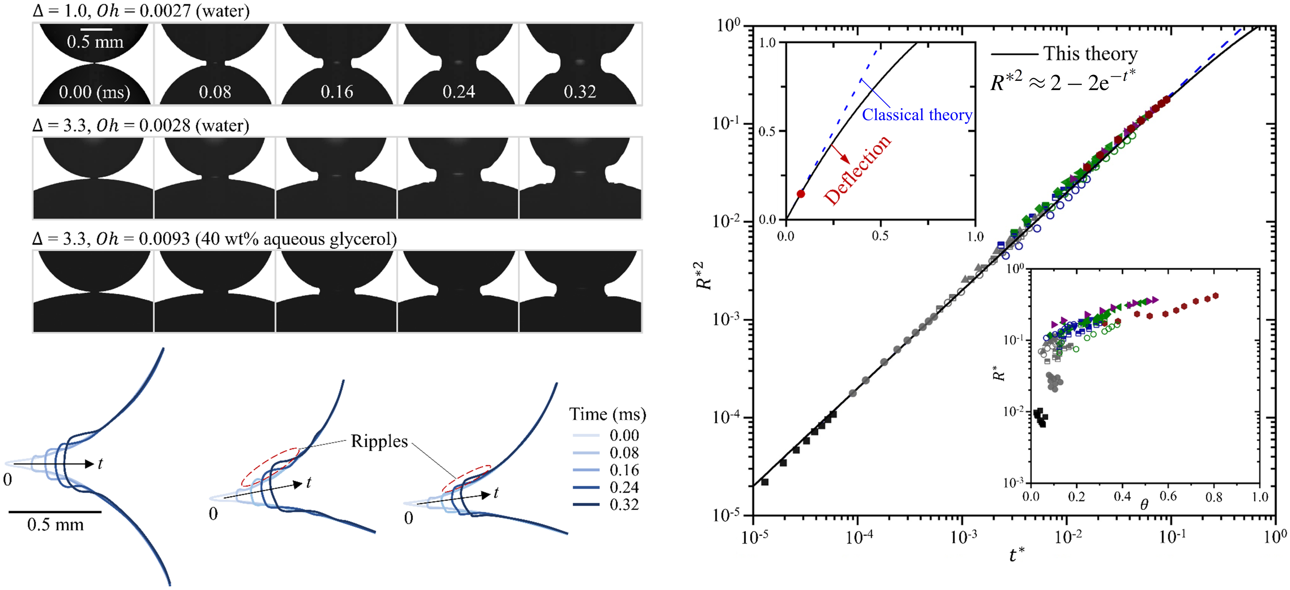
夏溪副教授提出无粘液滴融合新理论

章俊良教授团队综述质子交换膜燃料电池和电解水氧气传质机理及高效电极结构设计

张文明教授团队发文综述视触觉传感器研究进展

郭为忠教授团队提出基于运动副几何约束失效的机构误差发生新机制和建模新方法

胡洁教授、戚进副研究员团队利用多模态大模型为人机协作提出创新性解决方法

潘尔顺教授团队提出面向储能电站不完整数据场景的电池健康状态预测方法
夏溪副教授提出雷诺-涡量输运分析理论

马涛副教授提出BIPV领域彩色光伏“颜色-效率”协同优化方法与实现路径

王如竹ITEWA跨学科交叉团队研发温室侧窗水分回收系统,助力温室高效节水

王如竹ITEWA跨学科交叉团队提出新一代温室节水策略

章俊良教授团队成果揭秘钠离子电池正极晶格滑移机理